Strumenti di accessibilità

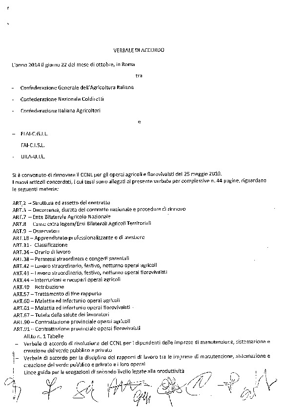
CCNL OPERAI AGRICOLI E FLOROVIVAISTI 22 10 14

CCNL OPERAI AGRICOLI E FLOROVIVAISTI 22 10 14

CCNL OPERAI AGRICOLI E FLOROVIVAISTI 22 10 14
×

Descrizione

Ipotesi di rinnovo del CCNL per gli operai agricoli e florovivaisti. Periodo di vigenza normativa 1/1/2014 31/12/2017. Periodo di vigenza economica 1/11/2014 31/12/2015. Documento in PDF


Pubblicato su
23-10-2014
Data ultimo aggiornamento
19-12-2025
Nome file
CCNL_OPERAI_AGRICOLI_E_FLOROVIVAISTI_22-10-14.pdf
Dimensione file
1.71 MB
Tipo di file
application/pdf
Hits
1 Hits
×

Servizi & Categorie

Per conoscere orari, sedi, contatti, attività ed informazioni di ogni categoria fai riferimento alla sezione del sito dedicata a ciascuna categoria. Per gli orari e sedi del nostro sistema di servizi fai riferimento a ciascuno ufficio.

 

CONTATTACI


CAMERA DEL LAVORO TERRITORIALE

via Puccini, 104
51100 PISTOIA (PT)

0573 3781

fax 0573 378 555

info@pistoia.tosc.cgil.it

Sede